class: center, middle, inverse, title-slide # Introdução à Ciência de Dados com o R ##
Use R!
### Steven Dutt Ross --- ## Por que usar o R? <P>1 . O R é a **principal** ferramenta para análise de dados. É mais do que um software estatístico, é uma linguagem de programação. <P>2. Você pode usá-lo **facilmente** em qualquer lugar. <P>3. **É grátis.** Você pode usa-lo em qualquer empresa, escola, em qualquer local sem ter que convencer o chefe a comprar uma licença. <P>4. Existem **mais de 10.000 pacotes com contribuições** de usuários disponíveis no site do R (cran). Muitos pacotes são colocados pelos pesquisadores mais proeminentes de seus respectivos campos de estudo. <P>5. R tem uma **grande (e crescente) comunidade de usuários**. As listas de discussões fornecem acesso a muitos usuários e autores de pacotes que são especialistas em seus campos. <BR> <P>OBS - Essa apresentação foi desenvolvida em R --- ## Por que usar o R? <!-- --> <BR> Outras organizações que utilizam o R: IBGE, FGV, IBOPE, Ministério da Indústria, Comércio Exterior e Serviços, etc... --- ## Grandes organizações que usam o R 1. Facebook - For behavior analysis related to status updates and profile pictures. 2. Google - For advertising effectiveness and economic forecasting. 3. Twitter - For data visualization and semantic clustering 4. Microsoft - Acquired Revolution R company and use it for a variety of purposes. 5. Uber - For statistical analysis 6. Airbnb - Scale data science. 7. IBM - Joined R Consortium Group 8. ANZ - For credit risk modeling 9. HP 10. Ford 11. Roche 12. New York Times - For data visualization 13. Mckinsey - [Fonte](http://www.listendata.com/2016/12/companies-using-r.html?m=1) --- ## Por que usar o R? <BR> COMEX-VIS do Ministério da Indústria,Comércio Exterior e Serviços <!-- --> ![ComexVis] (http://www.mdic.gov.br/comercio-exterior/estatisticas-de-comercio-exterior/comex-vis) foi desenvolvido em R --- ## R nas melhores revistas científicas <!-- --> [Fonte](http://estatisticacomr.com.br/r-nas-revistas-cientificas/) --- ## Número de pacotes do R ao longo do tempo Pacotes (package) são bibliotecas gratuitas de código escritas pelos usuários e desenvolvedores do R. Muitas funções específicas do R vêm em pacotes. <!-- --> --- ## Análises Desenvolvidas pelo R [Transparência](https://duttross.shinyapps.io/transparencia1/) [Engajamento Orçamentário](https://duttross.shinyapps.io/Engajamento/) [Mapa da Rocinha](https://dataunirio.github.io/Rocinha/) [Unirio em números](http://rpubs.com/StevenDuttRoss/unirioemnumeros) [Gráfico Interativo DATAUNIRIO](https://dataunirio.github.io/streetview/) [Gráfico Interativo GAE](http://gae.uniriotec.br/4/visualizacao.html) Pessoalmente, tenho grande experiência com programação SPSS, SAS, Excel/VBA, mas acabei trocando todas essas ferramentas pelo R. --- ## Entender não basta Ideia: Quero desenvolver essas análises. <!-- --> --- ## Estatística/Data Science ### Estatística como ciência do aprendizado 1. Estatística é a ciência do aprendizado a partir dos dados --- ## Estatística/Data Science ### Estatística como ciência do aprendizado 1. Estatística é a ciência do aprendizado a partir dos dados 2. Sempre olhe os dados: A procedência dos dados é importante --- ## Estatística/Data Science ### Estatística como ciência do aprendizado 1. Estatística é a ciência do aprendizado a partir dos dados 2. Sempre olhe os dados: A procedência dos dados é importante 3. A variação está em toda parte --- ## Estatística/Data Science ### Estatística como ciência do aprendizado 1. Estatística é a ciência do aprendizado a partir dos dados 2. Sempre olhe os dados: A procedência dos dados é importante 3. A variação está em toda parte ### Aplicação de conceitos A ênfase será na compreensão e aplicação de conceitos e técnicas, em vez da demonstração de teoremas. O curso é baseado na aplicação prática usando a linguagem computacional R. --- ## Registros e variáveis Os registros são objetos descritos por um conjunto de dados, podendo ser pessoas, animais, municípios, estados ou objetos. Uma variável é qualquer característica do registro. Uma variável pode assumir valores diferentes para registros diferentes. --- ## Variáveis qualitativas e quantitativas Variável qualitativa **Nominal** não existe hierarquia/ordenação entre as categorias. Exemplos: *sexo, cor, bairro, fumante/não fumante, doente/sadio*. Variável qualitativa **Ordinal** existe uma hierarquia/ordenação entre as categorias. Exemplos: *escolaridade (1o, 2o, 3o graus), patente militar (soldado, cabo, sargento), avaliação (péssimo, ruim, regular, bom, ótimo)* Variável quantitativa **Discreta** características mensuráveis que podem assumir apenas um número finito ou infinito contável de valores e, assim, somente fazem sentido valores inteiros. Geralmente são o resultado de contagens. Exemplos: *número de filhos, número de pessoas na família, número de cigarros fumados por dia.* Variável quantitativa **Contínua** características mensuráveis que assumem valores em uma escala contínua, para as quais valores fracionais fazem sentido. Exemplos: *renda, preço, peso, altura, tempo.* - [Fonte](http://leg.ufpr.br/~silvia/CE055/node8.html) --- ## Banco de Dados: Swiss Data Províncias da Suiça
--- ## Banco de Dados: Midwest Data Informações Demográficas dos municípios do Meio-Oeste ``` ## [1] 437 28 ```
--- ## Banco de Dados: Mtcars Data Performance de carros (10 informações)
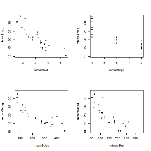
--- ## Geralmente acompanhado de um DICIONÁRIO DE DADOS Por exemplo: * mpg: Miles/(US) gallon * cyl: Number of cylinders * disp: Displacement (cu.in.) * hp: Gross horsepower * drat:Rear axle ratio * wt: Weight (1000 lbs) * qsec: 1/4 mile time * vs: V/S * am: Transmission (0 = automatic, 1 = manual) * gear: Number of forward gears * carb: Number of carburetors --- Por exemplo, esse banco de dados tem 32 carros e 11 variáveis. No R isso pode ser verificado pelo comando dim(mtcars), e names(mtcars) ```r dim(mtcars) ``` ``` ## [1] 32 11 ``` ```r names(mtcars) ``` ``` ## [1] "mpg" "cyl" "disp" "hp" "drat" "wt" "qsec" "vs" "am" "gear" ## [11] "carb" ``` --- ## O objetivo é extrair informações de um banco de dados Por exemplo: Valor médio das variáveis HP & mpg e tabela dos CyL dos carros desse banco de dados ``` ## [1] 146.6875 ``` ``` ## [1] 20.09062 ``` ``` ## ## 4 6 8 ## 11 7 14 ``` --- ## Outro modo de fazer isso é por meio de gráficos <!-- --> --- ## Atribuir um objeto no R O R é uma linguagem orientada a objetos que permite a manipulação e a análise de dados. AA <- 5 <br> BB <- 7 <br> CC <- AA^2 <br> DD <-AA+BB <br> --- ## Criando vetores O comando c() pode ser usada para criar vetores de objetos juntando os registros. ```r x <- c(0.3, 0.9, 7.1) ## numerico y <- c(TRUE, FALSE, FALSE) ## logico y <- c(T, F, F) ## logico z <- c("a", "b", "c") ## caracter w <- 10:20 ## inteiro k <- c(1+9i, 2+4i, 8+2i) ## complexo l <- c("red","blue","green") ## cores n<-as.Date(c('03/7/2017','04/7/2017','05/7/2017'),format='%d/%m/%Y') ``` --- ## Data.Frame: O banco de dados no R Podemos utilizar mais informações do que apenas dados de uma mesma classe, como um vetor ou uma matriz. Uma base de dados, em geral, é feita de dados de diversas classes diferentes. Como guardar informações de diversas classes diferentes? A resposta para isso é o data.frame. Por exemplo, se eu tivesse um departamento de uma empresa com esses funcionarios: ```r Funcionarios <- data.frame(nome = c("Marx", "Weber", "Durkheim","Arendt", "Maquiavel"), sexo = c("M", "M", "M", "F","M"), salario = c(1000, 1200, 1300, 2000, 500), stringsAsFactors = FALSE) Funcionarios ``` ``` ## nome sexo salario ## 1 Marx M 1000 ## 2 Weber M 1200 ## 3 Durkheim M 1300 ## 4 Arendt F 2000 ## 5 Maquiavel M 500 ``` --- ## Data.Frame: O banco de dados no R Outro exemplo. Um Data.Frame de uma turma com esses alunos: ```r Turma <- data.frame(nome_aluno = c("Jurgen Habermas", "Karl Popper", "John Rawls","Paulo Freire"), sexo = c("M", "M", "M","M"), CR = c(6.98, 7.01, 7.03, 8.88), stringsAsFactors = FALSE) Turma ``` ``` ## nome_aluno sexo CR ## 1 Jurgen Habermas M 6.98 ## 2 Karl Popper M 7.01 ## 3 John Rawls M 7.03 ## 4 Paulo Freire M 8.88 ``` --- ## Data.Frame: O banco de dados no R Para desenvolver um banco de dados a partir do SIAFI/SICONV/SIAFEM: ```r SIAFI <- data.frame(Municipio = c("Rio de Janeiro", "Belo Horizonte", "Porto Alegre","Olinda"), Capital = c("Sim", "Sim", "Sim","Não"), Divida_Uniao = c(1273.12, 2457.21, 989.03, 472.88), stringsAsFactors = FALSE) SIAFI ``` ``` ## Municipio Capital Divida_Uniao ## 1 Rio de Janeiro Sim 1273.12 ## 2 Belo Horizonte Sim 2457.21 ## 3 Porto Alegre Sim 989.03 ## 4 Olinda Não 472.88 ``` --- ## Data.Frame: O banco de dados no R Para selecionar colunas em um data.frame é utilizado o **simbolo $ ** ```r Funcionarios$nome ``` ``` ## [1] "Marx" "Weber" "Durkheim" "Arendt" "Maquiavel" ``` ```r Turma$nome_aluno ``` ``` ## [1] "Jurgen Habermas" "Karl Popper" "John Rawls" "Paulo Freire" ``` ```r SIAFI$Municipio ``` ``` ## [1] "Rio de Janeiro" "Belo Horizonte" "Porto Alegre" "Olinda" ``` --- ## Exploração dos dados 1. Inicie pelo exame de cada variável por si mesma. Em seguida, estude as relações entre essas variáveis. <p> 2. Sugestão: Tente fazer duas ações. 1) Inicie pelo gráfico. 2) Adicione então resumos numéricos (exemplo média, moda, mediana) de aspectos específicos dos dados. ## Distribuição de uma variável * A Distribuição de uma variável nos diz quais os valores assumidos por ela e qual a frequência com que ela os assume. * Os valores de uma variável categórica são rótulos para as categorias. A distribuição de uma variável categorica lista as categorias e dá a contagem e o percentual de registros que estão em cada uma delas. --- background-image: url(http://www.planwallpaper.com/cool-background#static/images/cool-background.jpg) background-position: 50% 50% class: center, bottom, inverse ## Distribuição de uma variável quantitativa --- ## Distribuição de uma variável quantitativa variáveis quantitativas geralmente assumem muitos valores. A distribuição nos diz quais valores ela assume e com qual frequência os assume. O gráfico da distribuição torna-se mais claro se agrupamos valores próximos. O gráfico mais comum da distribuição de uma variável quantitativa é o **histograma**. <!-- --> --- ## Análise de um histograma 1. Em qualquer gráfico de dados, procure pelo **padrão geral** e por **desvios** notáveis desse padrão. 2. Você pode descrever o padrão geral de um histograma por sua ** forma, centro e dispersão.** Um tipo importante de desvio é o **outlier** (valor atípico), um valor individual que está fora do padrão geral. --- ## Medida de centro: média, mediana, moda Relembrando... A Média é a soma de todos os valores de um conjunto de observações dividido pelo número de observações. ``` ``` `$$\bar{X}=\frac{1}{n}\sum_{i=1}^nX_i$$` A Mediana (Md) é o ponto no meio de uma distribuição, o número tal que metade das observações é menor que ele e metade , maior. <p> A Moda é a observação que mais se repete. --- background-image: url(http://www.planwallpaper.com/cool-background#static/images/cool-background.jpg) background-position: 50% 50% class: center, bottom, inverse ## R: Média, mediana e moda --- ## Uso do R para calcular as medidas de centro: média, mediana, moda Quando a Mediana é melhor do que a média para representar o centro de um conjunto de dados? Para responder isso, vamos criar dois vetores no R: <p> vetor1<- c(1,2,3,4,5) e <p> vetor2<- c(1,2,3,4,50000) --- ## Uso do R para calcular as medidas de centro: média, mediana, moda Quando a Mediana é melhor do que a média para representar o centro de um conjunto de dados? Agora vamos calcular a média e a mediana desses vetores. ```r vetor1<- c(1,2,3,4,5) vetor2<- c(1,2,3,4,50000) mean(vetor1) ``` ``` ## [1] 3 ``` ```r mean(vetor2) ``` ``` ## [1] 10002 ``` ```r median(vetor1) ``` ``` ## [1] 3 ``` ```r median(vetor2) ``` ``` ## [1] 3 ``` --- ## Para calcular os quartis 1. Ordene as observações em ordem crescente e localize a mediana. 2. O **primeiro quartil Q1** é a mediana das observações localizadas a esquerda da mediana 3. O **terceiro quartil Q3** é a mediana das observações localizadas a direita da mediana --- ## O resumo dos cinco números no R O resumo dos cinco números consiste: 1) no menor valor, 2) no primeiro quartil, 3) na mediana, 4) no terceiro quartil e 5) no maior valor. Estes cinco números oferecem uma descrição razoavelmente completa do cento e da dispersão dos dados. No R podemos obter esse resumo com o comando **summary(objeto)** ```r summary(vetor1) ``` ``` ## Min. 1st Qu. Median Mean 3rd Qu. Max. ## 1 2 3 3 4 5 ``` ```r summary(vetor2) ``` ``` ## Min. 1st Qu. Median Mean 3rd Qu. Max. ## 1 2 3 10000 4 50000 ``` --- ## O resumo dos cinco números no R O resumo dos cinco números para a variável HP (horsepower) do banco de dados mtcars no R. ```r summary(mtcars$hp) ``` ``` ## Min. 1st Qu. Median Mean 3rd Qu. Max. ## 52.0 96.5 123.0 146.7 180.0 335.0 ``` O resumo dos cinco números para a variável MPG do banco de dados Mtcars ```r summary(mtcars$mpg) ``` ``` ## Min. 1st Qu. Median Mean 3rd Qu. Max. ## 10.40 15.42 19.20 20.09 22.80 33.90 ``` O resumo dos cinco números para a variável Divida_Uniao do data.frame SIAFI ```r summary(SIAFI$Divida_Uniao) ``` ``` ## Min. 1st Qu. Median Mean 3rd Qu. Max. ## 472.9 860.0 1131.1 1298.1 1569.1 2457.2 ``` --- background-image: url(http://www.planwallpaper.com/cool-background#static/images/cool-background.jpg) background-position: 50% 50% class: center, bottom, inverse ## O Box-Plot no R --- ### O BOX PLOT <!-- --> --- ### O BOX PLOT O Box-Plot é o gráfico do resumo dos cinco números. 1. A caixa central abarca os quartis Q1 e Q3. 2. Uma linha central marca a mediana. 3. Linhas se estendem da caixa até o menor e o maior valor --- ### O BOX PLOT A Amplitude interquartil AIQ é a distância entre o primeiro e o terceiro quartil <!-- --> --- background-image: url(http://www.planwallpaper.com/cool-background#static/images/cool-background.jpg) background-position: 50% 50% class: center, bottom, inverse ## Medidas de dispersão no R: Variância e Desvio Padrão --- ## Medidas de dispersão no R: Variância e Desvio Padrão Para mostrar a variância e o Desvio Padrão, vamos criar quatro conjuntos de dados hipotéticos ```r conjunto1<-c(4,4,4,10,16,16,16) conjunto2<-c(4,6,8,10,12,14,16) conjunto3<-c(7,8,9,10,11,12,13) conjunto4<-c(10,10,10,10,10,10,10) ``` --- ## Medidas de dispersão no R: Variância e Desvio Padrão ```r conjunto1<-c(4,4,4,10,16,16,16) conjunto2<-c(4,6,8,10,12,14,16) conjunto3<-c(7,8,9,10,11,12,13) conjunto4<-c(10,10,10,10,10,10,10) ``` Vamos agora calcular a média desses quatro conjuntos de dados ```r mean(conjunto1) ``` ``` ## [1] 10 ``` ```r mean(conjunto2) ``` ``` ## [1] 10 ``` ```r mean(conjunto3) ``` ``` ## [1] 10 ``` ```r mean(conjunto4) ``` ``` ## [1] 10 ``` --- ## Medidas de dispersão no R: Variância e Desvio Padrão Vamos olhar esses conjuntos graficamente. Para isso, vou construir um eixo auxiliar. ```r eixo1<-c(1,1,1,1,1,1,1) eixo2<-c(2,2,2,2,2,2,2) eixo3<-c(3,3,3,3,3,3,3) eixo4<-c(4,4,4,4,4,4,4) plot(conjunto1,eixo1, col="red",ylim=c(0,5),pch=16, main = "Quatro conjuntos de dados",ylab="conjuntos", xlab="valores") points(conjunto2,eixo2, col="blue",pch=16) points(conjunto3,eixo3, col="green",pch=16) points(conjunto4,eixo4, col="black",pch=16) ``` --- ## Medidas de dispersão no R: Variância e Desvio Padrão <!-- --> --- ## Medidas de dispersão no R: Variância e Desvio Padrão * Apesar de terem a mesma média, os conjuntos de dados são diferentes. * A dispersão dos pontos é diferente em cada conjunto * O conjunto 2 tem um espalhamento maior que o conjunto 3. * O conjunto 1 é aquele em que há maior dispersão em torno da média --- ## Medidas de dispersão no R: Variância e Desvio Padrão A variância ``` ``` `$$S^2 = \frac{\sum_{i=1}^{n}(x_i - \bar{X})^2} {n-1}$$` O Desvio padrão `$$S = \sqrt{\frac{\sum_{i=1}^{n}(x_i - \bar{X})^2} {n-1}}$$` Ou simplesmente: `$$S = \sqrt{S^2}$$` --- ## Medidas de dispersão no R: Variância e Desvio Padrão Para fazer o desvio padrão no R você precisa escrever **sd(nome do conjunto)** sd = Standard Deviation (Desvio Padrão em inglês) ```r sd(conjunto1) ``` ``` ## [1] 6 ``` ```r sd(conjunto2) ``` ``` ## [1] 4.320494 ``` ```r sd(conjunto3) ``` ``` ## [1] 2.160247 ``` ```r sd(conjunto4) ``` ``` ## [1] 0 ``` --- ## O Diagrama de dispersão O Diagrama de Dispersão é um gráfico onde pontos no espaço cartesiano (X,Y) são usados para representar simultaneamente os valores de duas variáveis quantitativas medidas em cada elemento do conjunto de dados. --- ```r x <- c(1, 2, 3, 4, 5, 6, 7, 8, 9, 10) #criando um vetor qualquer y <- c(100, 200,300,400,500,600, 700, 800, 900, 1000) #criando outro vetor plot(x,y, col = "red", lwd = 10) #desenhando um gráfico de dispersão ``` <!-- --> --- ```r x <- c(1, 2, 3, 4, 5, 6, 7, 8, 9, 10) #criando um vetor qualquer y <- c(210, 50,280,400,590,540, 730, 770, 800, 1100) #criando outro vetor plot(x,y, col = "blue", lwd = 10) #desenhando um gráfico de dispersão ``` <!-- --> --- ```r idade = c(56, 30, 40, 32, 39, 23, 17, 20, 28, 16) metabolismo = c(17, 29, 27, 35, 27, 56, 58, 54, 50, 38) datacor = data.frame(metabolismo,idade) datacor ``` --- ``` ## metabolismo idade ## 1 17 56 ## 2 29 30 ## 3 27 40 ## 4 35 32 ## 5 27 39 ## 6 56 23 ## 7 58 17 ## 8 54 20 ## 9 50 28 ## 10 38 16 ``` --- Este diagrama de dispersão tem um padrão linear geral (reta). <!-- --> --- Essa padrão linear é facil de ver. <!-- --> --- ```r penademorte <- c(7,7,3,0,0,10,5,7,0,10,1,8,1,9,8,8,4,10,10,9) aborto <- c(1,2,7,7,9, 3,9,5,8,4,10,3,9,2,2,6,8,6,6,8) plot(penademorte,aborto) abline(lsfit(penademorte,aborto),col="darkred") ``` <!-- --> --- Padrão linear positivo, padrão linear negativo, sem padrão linear (padrão nulo)? <!-- --> --- background-image: url(http://www.planwallpaper.com/cool-background#static/images/cool-background.jpg) background-position: 50% 50% class: center, bottom, inverse ## Correlação no R --- ## O que é correlação? A Correlação mede a **direção** (positivas ou negativas) e a **intensidade** (força) da relação linear entre duas variáveis quantitativas (relacionamento entre duas variáveis). Costuma-se representar a correlação pela letra *r*. --- ## Fatos sobre a correlação <p> **A correlação não faz distinção entre variável explicativa e variável resposta** Não faz diferença alguma qual variável você chama de *x* e qual você chama de *y*, ao calcular a correlação. <p> <p> **r positivo indica uma associação positiva entre as variáveis**, e r negativo indica uma associação negativa. <p> <p> **A correlação *r* é sempre um número entre -1 e 1.** Valores próximos de zero indicam uma relação linear muito fraca. A intensidade da relação linear cresce, à medida que *r* se afasta de zero em direção a -1 ou 1. Os valores de *r* próximos de -1 ou 1 indicam que os pontos num diagrama de dispersão caem próximos de uma reta. Os valores extremos *r= -1* e *r= 1* ocorrem apenas no caso de relação linear perfeita , quando os pontos caem exatamente sobre a reta. --- ## Tipos de correlações <p> **Correlação de Pearson** para variáveis continuas <p> **Correlação de Spearman** para variáveis ordinais [Para saber mais clique aqui](http://rstudio-pubs-static.s3.amazonaws.com/10539_9a0d69971efd414d96bfb4b8cc20e76f.html#/6) <p> [Fonte: COEFICIENTES DE CORRELAÇÃO PARA VARIÁVEIS ORDINAIS E DICOTÔMICAS DERIVADOS DO COEFICIENTE LINEAR DE PEARSON](http://www.seer.ufu.br/index.php/cieng/issue/view/108) --- ## Correlação de Pearson ### Coeficiente de correlação produto-momento de Pearson (r) <p> Mede a intensidade e a direção da relação entre duas variáveis contínuas ## Interpretação do r ### Valores de referência Interpretação <p> 0 < r < 0,25 baixa ou nenhuma associação <p> 0,25 < r < 0,5 grau fraco de associação <p> 0,5 < r < 0,75 grau moderado de associação <p> r > 0,75 grau excelente --- ## Correlação de Pearson ### Fórmula ``` ``` $$r =\frac{COV(x,y)}{S_xS_y} $$ Onde: * COV = covariância * S = Desvio-padrão * Covariância é o número que reflete o grau em que duas variáveis variam juntas. ``` ``` `$$COV = \frac{\Sigma(X - \overline{X})(Y - \overline{Y})}{N - 1}$$` --- ## Correlação entre idade e metabolismo ```r cor(datacor$idade, datacor$metabolismo) ``` ``` ## [1] -0.8262782 ``` ```r plot(datacor$idade, datacor$metabolismo) abline(lsfit(datacor$idade, datacor$metabolismo),col="darkred") ``` <!-- --> --- # Correlação de Pearson Correlação entre as variáveis MPG e HP e as variáveis MPG e WT ```r data("mtcars") cor(mtcars$mpg,mtcars$hp) ``` ``` ## [1] -0.7761684 ``` ```r cor(mtcars$mpg,mtcars$wt) ``` ``` ## [1] -0.8676594 ``` --- ## Correlação de Spearman ```r var1 = c(10, 9, 5, 6, 7) var2 = c(3, 6, 10, 5, 4) cor(var1, var2, method="spearman") ``` ``` ## [1] -0.7 ``` --- ### Na prática, fazemos uma matriz com todas as correlações. ```r animais = c(10, 13, 14, 11, 10, 17, 10, 7, 12, 13) frutas = c(11, 11, 14, 9, 7, 14, 9, 4, 13, 12) fas = c(3, 20, 27, 26, 16, 41, 34, 13, 31, 38) dados.fv = data.frame(animais, frutas, fas) cor(dados.fv) ``` ``` ## animais frutas fas ## animais 1.0000000 0.8723616 0.6592267 ## frutas 0.8723616 1.0000000 0.5185627 ## fas 0.6592267 0.5185627 1.0000000 ``` ```r pairs(dados.fv) ``` <!-- --> --- ## Na prática, fazemos uma matriz com todas as correlações. ```r cor(mtcars[,c("disp","drat","hp","mpg","qsec","wt")]) ``` ``` ## disp drat hp mpg qsec wt ## disp 1.0000000 -0.71021393 0.7909486 -0.8475514 -0.43369788 0.8879799 ## drat -0.7102139 1.00000000 -0.4487591 0.6811719 0.09120476 -0.7124406 ## hp 0.7909486 -0.44875912 1.0000000 -0.7761684 -0.70822339 0.6587479 ## mpg -0.8475514 0.68117191 -0.7761684 1.0000000 0.41868403 -0.8676594 ## qsec -0.4336979 0.09120476 -0.7082234 0.4186840 1.00000000 -0.1747159 ## wt 0.8879799 -0.71244065 0.6587479 -0.8676594 -0.17471588 1.0000000 ``` --- # No entanto, hoje em dia podemos construir uma visualização de dados dessa matriz. --- ## Visualização da Matriz de Correlação <!-- --> --- ## Visualização da Matriz de Correlação ```r library(corrplot) M <- cor(mtcars[,c("disp","drat","hp","mpg","qsec","wt")]) corrplot(M, method="circle") ``` <!-- --> --- ## Visualização da Matriz de Correlação ```r corrplot(M, method="square") ``` <!-- --> --- ## Visualização da Matriz de Correlação ```r corrplot(M, method="number") ``` <!-- --> --- ## Visualização da Matriz de Correlação ```r corrplot(M, method="color") ``` <!-- --> --- ## Visualização da Matriz de Correlação ```r corrplot(M, method="pie") ``` <!-- --> --- ## Visualização da Matriz de Correlação:Criação de Grupos ```r corrplot(M, order="hclust", addrect=2) ``` <!-- --> --- ## Visualização da Matriz de Correlação: Democratas e Republicanos ```r col3 <- colorRampPalette(c("red", "white", "blue")) corrplot(M, order="hclust", addrect=2, col=col3(20)) ``` <!-- --> --- ## Matriz de correlação Pós-Moderna ```r wb <- c("white","black") corrplot(M, order="hclust", addrect=2, col=wb, bg="gold2") ``` <!-- --> --- ## Matriz de Correlação Analítica (Versão 1) ```r corrplot.mixed(M) ``` <!-- --> --- ## Matriz de Correlação Analítica (Versão 2) ```r corrplot(M,addCoef.col=TRUE,number.cex=0.7) ``` <!-- --> --- ## Teste de Correlação $$H0: \rho =0 $$ $$H1: \rho \neq 0 $$ ```r cor.test(mtcars$mpg,mtcars$hp, method="spearman") ``` ``` ## ## Spearman's rank correlation rho ## ## data: mtcars$mpg and mtcars$hp ## S = 10337, p-value = 5.086e-12 ## alternative hypothesis: true rho is not equal to 0 ## sample estimates: ## rho ## -0.8946646 ``` --- background-image: url(http://www.planwallpaper.com/cool-background#static/images/cool-background.jpg) background-position: 50% 50% class: center, bottom, inverse ## Regressão linear no R --- ## Regressão linear: objetivos * Predizer observações futuras * Avaliar o efeito as relações da variável independente (x) sobre uma variável dependente (y) * Descrever a estrutura dos dados ## Modelo de Regressão Linear `\(Y = \beta_0 + \beta_1 x + \epsilon\)` Onde: Y = é o valor a ser predito `\(\beta_0\)` = é o intercepto (valor quando x = 0) `\(\beta_1\)` = é a inclinação da reta de regressão x = é o valor da variável preditora `\(\epsilon\)` = é o erro --- Objetivo: usar o R para estimar, interpretar e gerar diagnósticos. <br> O comando no R para os modelos de regressão é o *lm* (**l**inear **m**odel). Esse comando estima um modelo de regressão com o método **Mínimos Quadrados Ordinários - MQO**. <br> Além desse comando, também é importante conduzir um diagnóstico do modelo linear para avaliar os pressupostos. --- ## Modelo de regressão: exemplo 1 ```r y = c(110, 120, 90, 70, 50, 80, 40, 40, 50, 30) xx = 1:10 modelo = lm(y ~ xx) modelo ``` ``` ## ## Call: ## lm(formula = y ~ xx) ## ## Coefficients: ## (Intercept) xx ## 118.667 -9.212 ``` --- ## Modelo de regressão: exemplo 1 ```r plot(y ~ xx) abline(modelo, col=2, lty=2, lwd=2) legend("top", legend=c("valores observados", "valores ajustados"), lty=c(NA,2), col=c(1,2), lwd=1:2, bty="n", pch=c(1,NA)) ``` <!-- --> --- ## Modelo de regressão: exemplo 2 ```r renda = c(1750, 1680, 1700, 1710, 1690, 1650, 1650, 1600, 1800, 1860) anosdeestudo = c(8, 7, 6, 6, 6, 5, 5, 5, 8, 9) modelo2 = lm(renda ~ anosdeestudo) ``` --- ```r plot(renda ~ anosdeestudo) abline(modelo2, col=2, lty=2, lwd=2) ``` <!-- --> ```r modelo2 ``` ``` ## ## Call: ## lm(formula = renda ~ anosdeestudo) ## ## Coefficients: ## (Intercept) anosdeestudo ## 1387.51 49.46 ``` --- ## Modelo de regressão: exemplo 3 ```r data("mtcars") modelo3 = lm(mpg ~ wt, data=mtcars) modelo3 ``` ``` ## ## Call: ## lm(formula = mpg ~ wt, data = mtcars) ## ## Coefficients: ## (Intercept) wt ## 37.285 -5.344 ``` --- ```r plot(mtcars$mpg ~ mtcars$wt) abline(modelo3, col=2, lty=2, lwd=2) legend("topright", legend=c("valores observados", "valores ajustados"), lty=c(NA,2), col=c(1,2), lwd=1:2, bty="n", pch=c(1,NA)) ``` <!-- --> --- ## Modelo de regressão: exemplo 4 ```r modelo4 = lm(mpg ~ wt+cyl+disp+hp, data=mtcars) modelo4 ``` ``` ## ## Call: ## lm(formula = mpg ~ wt + cyl + disp + hp, data = mtcars) ## ## Coefficients: ## (Intercept) wt cyl disp hp ## 40.82854 -3.85390 -1.29332 0.01160 -0.02054 ``` --- ```r par(mfrow = c(2, 2)) plot(mtcars$mpg ~ mtcars$wt) plot(mtcars$mpg ~ mtcars$cyl) plot(mtcars$mpg ~ mtcars$disp) plot(mtcars$mpg ~ mtcars$hp) ``` <!-- --> --- ## Resumo do Modelo Estimado $$H0: \beta_i =0 $$ $$H1: \beta_i \neq 0 $$ ```r summary(modelo4) ``` ``` ## ## Call: ## lm(formula = mpg ~ wt + cyl + disp + hp, data = mtcars) ## ## Residuals: ## Min 1Q Median 3Q Max ## -4.0562 -1.4636 -0.4281 1.2854 5.8269 ## ## Coefficients: ## Estimate Std. Error t value Pr(>|t|) ## (Intercept) 40.82854 2.75747 14.807 1.76e-14 *** ## wt -3.85390 1.01547 -3.795 0.000759 *** ## cyl -1.29332 0.65588 -1.972 0.058947 . ## disp 0.01160 0.01173 0.989 0.331386 ## hp -0.02054 0.01215 -1.691 0.102379 ## --- ## Signif. codes: 0 '***' 0.001 '**' 0.01 '*' 0.05 '.' 0.1 ' ' 1 ## ## Residual standard error: 2.513 on 27 degrees of freedom ## Multiple R-squared: 0.8486, Adjusted R-squared: 0.8262 ## F-statistic: 37.84 on 4 and 27 DF, p-value: 1.061e-10 ``` --- ## Intervalo de confiança Para constuir um intervalo de confiança no R, devemos usar o comando confint (**conf**idence **int**erval in R) ```r confint(modelo4, level=0.90) ``` ``` ## 5 % 95 % ## (Intercept) 36.131773481 45.5253000036 ## wt -5.583548043 -2.1242590033 ## cyl -2.410467022 -0.1761724251 ## disp -0.008374899 0.0315733777 ## hp -0.041227830 0.0001510774 ``` Esse comando produz um intervalo de 90% de confiança, para trocar por um intervalo de 99% de confinça é necessário a modificação para *level=0.99* --- ## Diagnóstico do modelo de regressão Pressupostos e possíveis problemas 1. Independência 2. Homocedasticidade 3. Normalidade Multicolinearidade, Outliers e pontos influentes --- ## Independência (Ausência de autocorrelação) O teste de Durbin-Watson é utilizado para detectar a presença de autocorrelação (dependência) nos resíduos de uma análise de regressão. [Fonte](http://www.portalaction.com.br/analise-de-regressao/33-diagnostico-de-independencia) ```r library(lmtest) dwtest(modelo4) ``` ``` ## ## Durbin-Watson test ## ## data: modelo4 ## DW = 1.685, p-value = 0.09982 ## alternative hypothesis: true autocorrelation is greater than 0 ``` --- ## Homocedasticidade (Mesma Variância dos Erros) Homocedasticidade é o termo para designar variância constante dos erros para observações diferentes. Caso a suposição de homocedasticidade não seja válida, podemos listar alguns efeitos no ajuste do modelo: Os erros padrões dos estimadores, obtidos pelo Método dos Mínimos Quadrados, são incorretos e portanto a inferência estatística não é válida. [Fonte](http://www.portalaction.com.br/analise-de-regressao/32-diagnostico-de-homoscedasticidade) O **Breusch-Pagan** é utilizado para testar a hipótese nula de que as variâncias dos erros são iguais (homoscedasticidade). ```r bptest(modelo4,studentize=FALSE) ``` ``` ## ## Breusch-Pagan test ## ## data: modelo4 ## BP = 3.4773, df = 4, p-value = 0.4813 ``` --- ## Normalidade Um gráfico que indica se a distribuição dos resíduos é Normal é o **Quantile-Quantile Plot (QQPlot)**. ```r qqnorm(modelo4$residuals) qqline(modelo4$residuals,col='red') ``` <!-- --> ```r densityPlot(modelo4$residuals, col="red",bw="SJ", adjust=1, kernel="gaussian") ``` <!-- --> --- ## Normalidade O teste de **Jarque-Bera** tem como hipótese nula a normalidade. <br> Se o p-valor for menor do que 5% (ou 10%), p<0,05 (p<0,10), então rejeita-se a hipótese que os erros tem distribuição normal. ```r library(tseries) jarque.bera.test(modelo4$residuals) ``` ``` ## ## Jarque Bera Test ## ## data: modelo4$residuals ## X-squared = 4.2901, df = 2, p-value = 0.1171 ``` --- ## Multicolinearidade, Outliers e pontos influentes A **Multicolinearidade** acontece quando as variáveis explicativas apresentam altas correlações entre si. A melhor estratégia para verificar a Multicolinearidade é por meio do **VIF (Variance Inflation Factor).** Como diagnóstico final, é uma boa ideia determinar quais são as observações que têm grande influência no modelo. A [Distância de Cook](http://www.portalaction.com.br/analise-de-regressao/343-pontos-influentes) . mede a influência da observação i sobre todos n valores ajustados. ```r library(car) ``` ``` ## ## Attaching package: 'car' ``` ``` ## The following object is masked from 'package:dplyr': ## ## recode ``` ```r vif(modelo4) ``` ``` ## wt cyl disp hp ## 4.848016 6.737707 10.373286 3.405983 ``` ```r influenceIndexPlot(modelo4,vars="Cook",id.n=5) ``` <!-- --> ---